Hukum Newton 1
DINAMIKA PARTIKEL
Hukum Newton adalah Tiga
rumusan dasar dalam fisika yang menjelaskan dan memberikan gambaran tentang
kaitan gaya yang bekerja dengan gerak yang terjadi pada suatu benda. Kata
Newton berasal dari ilmuan yang menemukan dan memperkenalkannya yaitu Sir Isaac
Newton, Ketiga hukum tersebut dirangkum dalam karyanya Philosophiae Naturalis
Principia Mathematica. Hukum Newton dijelaskan untuk meneliti dan mengamati
gerak dalam berbagai mekanisme maupun sistem.
Hukum Newton 1 (I)
"JIKA
RESULTAN GAYA YANG BEKERJA PADA BENDA YANG SAMA DENGAN NOL, MAKA BENDA YANG
MULA-MULA DIAM AKAN TETAP DIAM. BENDA YANG MULA-MULA BERGERAK LURUS BERATURAN
AKAN TETAP LURUS BERATURAN DENGAN KECEPATAN TETAP".
Contoh Hukum Newton 1 (I) dalam Kehidupan
Sehari-hari
·
Saat mobil bergerak cepat di rem mendapak
penumpang akan serasa terdorong kedepan
·
Mobil yang anda naiki setelah direm mendadak,
lalu mobil tiba-tiba bergerak kedepan, maka anda akan terdorong ke belakang
·
Koin yang diatas kertas yang diletakkan di
meja akan tetap, jika kertas ditarik cepat
Hukum Newton 2
"PERCEPATAN
DARI SUATU BENDA AKAN SEBANDING DENGAN JUMLAH GAYA (RESULTAN GAYA) YANG BEKERJA
PADA BENDA TERSEBUT DAN BERBANDING TERBALIK DENGAN MASSANYA".
Contoh Hukum Newton 2 dalam Kehidupan Sehari-hari
·
Gaya yang ditimbulkan ketika menarik gerobak
yang penuh dengan padi, untuk dipindahkan kerumah dari sawah
·
Jika di tarik dengan gaya yang sama
mobil-mobil yang masasanya lebih besar (ada beban) percepatannya lebih kecil,
sedangkan pada mobil-mobilan yang sama (massa sama) jika ditarik dengan gaya
yang lebih besar akan mengalami percepatan yang lebih besar pula
Hukum Newton 3
"JIKA SUATU
BENDA MEMBERIKAN GAYA PADA BENDA LAIN MAKA BENDA YANG DIKENAI GAYA AKAN
MEMBERIKAN GAYA YANG BESARNYA SAMA DENGAN GAYA YANG DI TERIMA DARI BENDA
PERTAMA TETAPI ARAHNYA BERLAWANAN".
Contoh Hukum Newton 3 dalam Kehidupan
Sehari-hari
adanya gaya gravitasi, Peristiwa gaya magnet,
gaya listrik
·
Duduk di atas kursi berat badan tubuh
mendorong kursi ke bawah sedangkan kursi menahan (mendorong) badan ke
atas.
·
Jika seseorang memakai sepatu roda dan
mendorong dinding, maka dinding akan mendorong sebesar sama dengan gaya yang
kamu keluarkan tetapi arahnya berlawanan, sehingga orang tersebut terdorong
menjauhi dinding
Demikianlah artikel singkat
mengenai Bunyi Hukum Newton (1, 2, 3 ), Rumus serta Contohnya di Kehidupan
Sehari-hari
CONTOH SOAL
Gambar
di bawh ini menunjkkkan suatu balok bermassa m1, berada pada permukaan
horizontal yanh licin ditarik oleh suatu
tali yang pada ujung lainnya tergantung balok massa m2 lewat suatu katrol.
Massa m2 lewat suatu katrol. Massa tali dan katrol dapat diabaiklan dan tidak
ada gesekan pada katrol. Tentukam percepatan balok-balok tersebut dan tegangan
tali
Benda m1 dan m2
yang gerakannya akan diselidiki, harus dibuat diagram gaya-gaya yang beketrja
Benda I :
Sepanjang sumbu X : T = m1. Ax
Sepanjang Sumbu Y :
T = N-w1 = 0
Benda II :
tegangan tali yang bekerja juga T, Karena massa tali dapat diabaikan dan tidak
ada gesekan pada katrol.
Benda II
bergerak kebawah
M2.g – T = m2
ay, dimana ax = ay = a
M2.g – m1.a =
m2. a
Maka ‘a ‘ dapat
diperoleh
a= (m2/(m1+m2))g
Tegangan tali
T =
((m1.m2)/(m1+m2))g
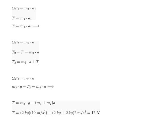
Tentukan percepatan yang dialami sistem dan tegangan tali masing-masing
Benda A, B, C bergerak dengan percepatan konstan yang sama yaitu a
Benda C ; F-T2 = mC.a
Benda B; T2-Ti = mB.a
Benda A; T1 = mA. a
Mengihtung Percepatan
F =(mc+mb+ma)/a
a = (mc+mb+ma)/F
Menghitung tegangan Tali
Contoh 3
Suatu benda bermassa 0.8 kg, berada pada bidang miring yang membuat sudut 37 dengan bidang datar. Berapa besar gaya yang diberikan agar benda bergerak keatas atau kebawah? Percepatan adalh konstan 0,10 m/s2, koefisien gesekan kinetis dengan bidang μk = 0,30, sedangkan g = 9,8 m/s2
Persamaan gerak sepanjang bidang
datar
F-mgsin α – fk = ma
fk = μk N
= μk Wcos α
= μk mgcos α
= F – mg (sinα +μk cos α) = ma
= F..?
Bergerak kebawah
F+mg sinαm-fk = ma
Atau
F + mg (sinα -μk cos α) = ma
Contoh 5
Sebuah balok
bermassa 5 kg (berat w = 50 N) digantung dengan tali dan diikatkan pada atap.
Jika balok diam maka berapakah tegangan talinya?
Gaya-gaya yang
bekerja pada balok seperti gambar di bawah ini, karena balok diam, maka berlaku
hukum I Newton yaitu sebagai berikut.
Contoh 6
Sebuah benda bermassa 40 kg ditarik melalui katrol sehingga
memiliki posisi seperti yang diperlihatkan pada gambar (a) di bawah ini. Jika
sistem itu diam, maka berapakah gaya F?
seperti pada gambar (b) di atas. Sistem diam berarti berlaku Hukum
1 Newton sebagai berikut.
■ Pada sumbu-Y
ΣFy = 0
T sin 53o – w = 0
T(0,8) – 400 = 0
0,8T = 400
T = 400/0,8
T = 500 N
■ Pada sumbu-X
ΣFx = 0
F – T cos 53o = 0
F – (500)(0,6) = 0
F – 300 = 0
F = 300 N
Jadi, gaya F yang bekerja pada sistem tersebut adalah 300 Newton.
Contoh 7
Benda bermassa 10 kg diikat tali dan dibentuk sistem seperti
pada gambar (a) berikut ini. Jika sistem itu diam dan percepatan gravitasi g =
10 m/s2maka
tentukan tegangan tali T1 dan
T2!
Penyelesaian:
Berat benda adalah sebagai berikut.
w = mg
w = 10 kg × 10 m/s2
w = 100 N
Dengan menggunakan metode analisis sama seperti pada contoh soal
sebelumnya di mana diagram gaya ditunjukkan pada gambar (b), maka resultan gaya
yang bekerja pada sistem ini adalah sebagai berikut.
■ Pada sumbu-Y
ΣFy = 0
T1 sin 60o + T2 sin 30o – w = 0
T1 (1/2√3) + T2 sin (1/2) – 100 = 0
1/2√3 T1 + 1/2 T2 = 100
(Kedua ruas dikali 2)
√3 T1 + T2 = 200
T2 = 200 – √3 T1 ……….. pers. (a)
■ Pada sumbu-X
T2 cos 30o – T1 cos 60o = 0
T2 (1/2√3) – T1 (1/2) = 0
1/2√3 T2 – 1/2T1 = 0 ……….. pers. (b)
{subtitusikan persamaan (a) ke persamaan (b)}
1/2√3(200 – √3 T1) – 1/2T1 = 0
100√3 – 3/2T1 – 1/2T1 = 0
3/2T1 + 1/2T1 = 100√3
4/2T1 = 100√3
2T1 = 100√3
T1 = 50√3 N
Untuk memperoleh nilai T2, kita subtitusikan nilai T1 = 50√3 ke persamaan (a) sehingga kita peroleh nilai sebagai berikut.
T2 = 200 – √3 T1
T2 = 200 – √3(50√3)
T2 = 200 – 150
T2 = 50 N
Dengan demikian, nilai T1 dan T2 berturut-turut
adalah 50√3 N dan 50 N.
Contoh 8
Balok bermassa 20 kg berada di atas bidang miring licin dengan
sudut kemiringan 30o. Jika
Ucok ingin mendorong ke atas sehingga kecepatannya tetap maka berapakah gaya
yang harus diberikan oleh Ucok?
Penyelesaian:
m = 20 kg
g = 10 m/s2
w = mg = 20 × 10 = 200 N
α = 30o
gaya dorong Ucok F harus dapat mengimbangi proyeksi gaya berat.
Lihat gambar di bawah ini. Balok bergerak ke atas dengan kecepatan tetap
berarti masih berlaku hukum I Newton sehingga memenuhi persamaan berikut.
ΣF = 0
F – w sin 30o = 0
F – (200)(1/2) = 0
F – 100 = 0
F = 100 N
Jadi, gaya yang harus diberikan pada balok agar balok bergerak
dengan kecepatan tetap adalah sebesar 100 N.
Contoh 9
Dhania menarik beban dengan bantuan katrol seperti pada gambar (a)
di bawah ini. Pada saat gaya yang diberikan F = 125 N ternyata beban dapat
terangkat dengan kecepatan tetap. g = 10 m/s2. Jika gaya gesek katrol dan massa tali dapat diabaikan maka
berapakah massa beban tersebut?
Penyelesaian:
Diagram gaya yang bekerja pada sistem ini adalah seperti yang
ditunjukkan pada gambar (b). Pada beban bekerja dua buah gaya yaitu gaya berat
w dan gaya tegangan tali T. Besar gaya tegangan tali ini besarnya sama dengan
gaya tarik F. Karena kecepatan beban yang bergerak ke atas adalah tetap, maka
berlaku hukum II Newton sebagai berikut.
ΣF = 0
T – w = 0
F – mg = 0
125 – m(10) = 0
125 – 10m = 0
10m = 125
m = 125/10
m = 12,5 kg
Jadi, massa beban tersebut adalah 12,5 kg.













